Tools, Technologies and Training for Healthcare Laboratories

Frequently-Asked-Questions on Reference Intervals and Biological Variation

For the laboratory medicine, it's critical to understand difference between Reference Interval (RI) and Biological variation (BV). We are pleased to have a guest essay where the most commonly-asked-questions about both topics are answered.

10 Most frequently asked questions about Reference Interval (RI) and Biological Variation (BV)

By Dr. Anwar Al-Borai, BSc, MSc, PhD
July 2012

[Editor's note: Back in 2011, I had the pleasure of visiting Saudi Arabia and presenting alongside Dr. Al-Borai in Riyadh and Jeddah. Dr Al-Borai is an Associate Clinical Scientist at National Guard Health Affairs, Department of Pathology and Laboratory Medicine. He gave such an excellent talk on Reference Interval and Reference Change Values, I asked him if we would write something for our website.]

1. What do we mean by Reference Interval (RI)?

It is the range of values where the laboratory can objectively interpret the generated numbers. This interpretation includes comparing test values against the population-based reference values. In other words, the normal values mean that the obtained values are typical of the values found in a specific population at large. Statistically, the values of the RI must be distributed in a bell-shaped (symmetrical Gaussian distribution).

2) What are the factors affecting RI?

The database of RIs for the same test can be different from one study to another. This is due to many factors which can be summarised as follow:

a. Endogenous: this factor cannot be controlled. Age and sex are the main inherent factors. For example many circulated hormones can be affected by age and/or sex during the lifespan.
b. Exogenous: this factor can be controlled. Fasting status, exercise and pregnancy are examples of factors which can be modified.
c. Genetics and /or ethnicity: this is a population dependant factor. Also, the geographical location can be RI determinant.
d. Laboratory: different RIs can be derived by different laboratories as pre-analytical, analytical and post-anlytical factors can play an important role in determining the results of all analytes.
e. Statistical approaches: the utilized method to estimate RI can affect test interpretation.

3) How RI can be derived?

The CLSI and IFCC recommendations can be followed to calculate the RI for any target population. The detailed statistical methods provided in these recommendations must be strictly adhered. In general to generate RI from data analysis there are two approaches which can be utilized (parametric and non-parametric).

4) What are the limitations of the RI?

a- There is no specific source of RI. Therefore, each clinical laboratory can obtain their own RI from different references e.g. published literature, kit inserts (reagents company) or text books.
b- To establish the RI a considerable high number of normal subjects is required in addition to the time and efforts required for analysis.
c- For accurate analyte estimation each laboratory should establish its own reference values.
d- Sometimes the RI data should be stratified according to the age and/or sex.
e- For many of the analytes each population should have their own RI.

5) What do we mean by the analytes biologic variation (BV)?

It means the continuous fluctuation of the components of the body fluids over the long (years) or short (hours) span of life.

6) What are the types of BV?

a- Variation over the span of life: this related to physiological changes inherent to the growth, or any other altered circumstances in the person’s life. Growth hormone and hormones related to pregnancy are examples for such changes.
b- Predictable: some analytes have predictable daily or monthly cyclical BV. The peak of high Cortisol level in the early morning compared to the nadir level at midnight represents a good example of natural daily fluctuation of BV. Another example is the female hormones as they have a predictable monthly cyclical BV which related to the menstrual cycle.
c- Non-Predictable: This can be related to the factors of pre-analytical, analytical or inherent random BV.

7) What are the sources of variation in an individual analyte over the time?

There are three sources of variation:

a- Pre-analytical: e.g. sample collection transport, handling before separation.
b- Analytical: e.g. test imprecision during replicated analysis.
c- Inherent random BV: this has been described as random variation around the homeostatic setting point for each individual (intra-individual variation) and the differences between the setting points of different individuals (inter-individual variation).

8) What are the components of BV?

Variation of data made of serial results from a group of subjects is derived from three components:

a- Anlytical variation (CVA) – imprecision.
b- Intra-individual or within subject biological variation (BVI).
c- Inter-individual or between subject biological variation (BVG).

9) How the components of BV can be estimated?

a- A number of samples should be obtained from each of several healthy individuals using strict similar protocol with pre-defined exclusion and inclusion criteria.
b- A standardized procedure must be followed in each phase of the pre-defined protocol i.e. before and while sample collection as well as during and after sample analysis.
c- Pre-analytical variation and analytical imprecision must be minimized.
d- Appropriate statistical methods (e.g. ANOVA) should be utilised to estimate each components of BV following outliers’ exclusion.

10) What are the clinical laboratory applications of BV?

In daily laboratory practice, BV has eight main applications:

a. Setting quality specifications for analytical performance:
Laboratory method and its desirable specifications for imprecision (CVA), bias (B), and total error (TE) can be derived from biological variation data.

b. Evaluating the clinical significance of changes in consecutive results from an individual:
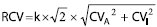
To evaluate the clinical significance of changes both analytical and physiological variations must be considered. The critical significant changes between two results named as Reference Change Value (RCV) is a vital component when monitoring patients. Usually, it can be determined on healthy individuals using the following formula:

RCVequation

k = 1.65 for one tail test and a probability risk ? of 95%
CVA: analytical coefficient of variation
CVI: within subject coefficient of variation

c. Assessing the usefulness of population-based reference values:
The RI can be assessed by determining the ratio of within-subject to the between-subject BV (CVI/CVG). It is known as Index of individuality (II). When II becomes ≤ 1 (max. sensitivity ≤ 0.6) it means that the conventional reference values are of limited value in the detection of unusual results of a particular individual. The majority of analytes fall within this value. When II becomes ≥ 1 (max. sensitivity ≥ 1.4) it means that the observed values can be compared usefully with reference values.

d. Determining which sample matrix (e.g. plasma, serum, urine) is optimal for analyzing a specific constituent of the same test:
This is based on within–subject BV (CVI) value as sample with lowest CVI considered to be the most optimal matrix of the test.

e. Selecting the best test among several for a specific clinical purpose (e.g. diagnosis, monitoring):
The test with high sensitivity for diagnosis is the test with the highest index of individuality (II). The test with maximum sensitivity for monitoring is the test with the lowest reference change value (RCV).

f. Selecting the most informative units of expression for each analyte for reporting results:
Usually the ideal analyte unit has the lowest within-subject biological variation (BVi).

g. Determining the number of analyses needed to establish an individual’s homeostatic set point:
In another way indices of BV can estimate how many collected blood specimens of a particular test would produce a precise estimate of the homeostatic set point as well as allowing within subject variance to be accurately estimated.

h. Validating new procedures in a laboratory:
This is a common practice when implementing quality specifications, according to international organisations.

Conclusion:

The reference intervals as well as the components of biological variation can together play an important role in medical laboratory to notify doctors about changes in patient status. Therefore, in our opinion the future laboratory information system should not only concerned on the significant changes of patient result compared to the reference interval but also to utilise different indices of biological variation so it can compare the current test result with the previous one (expressed as RCV value).

Useful references:

For more details about the above topics the following references are useful to read.

  1. Fraser JD. Biological variation: from principles to practice. Washington, DC: AACC press; 2001. pp. 1-145.
  2. Fraser CG, Harris EK. Generation and application of data on biological variation in clinical chemistry. Crit Rev Clin Lab Sci 1989; 27: 409-37.
  3. Fraser CG. Inherent biological variation and reference values. Clin Chem Lab Med 2004; 42: 758-64.
  4. Carmen Ricós CP, Joana Minchinela, Virtudes Álvarez, Margarita Simón, Carmen Biosca, Mariví Doménech, Pilar Fernández, Carlos-Víctor Jiménez, José Vicente Garcia-Lario, Fernando Cava. Application of biological variation – a review. Biochemia Medica 2009.

Let us know what you're interested in!

Please use this form to request more information about.

Westgard Products and Services.

Invalid Input
Invalid Input
Invalid Input
Invalid Input